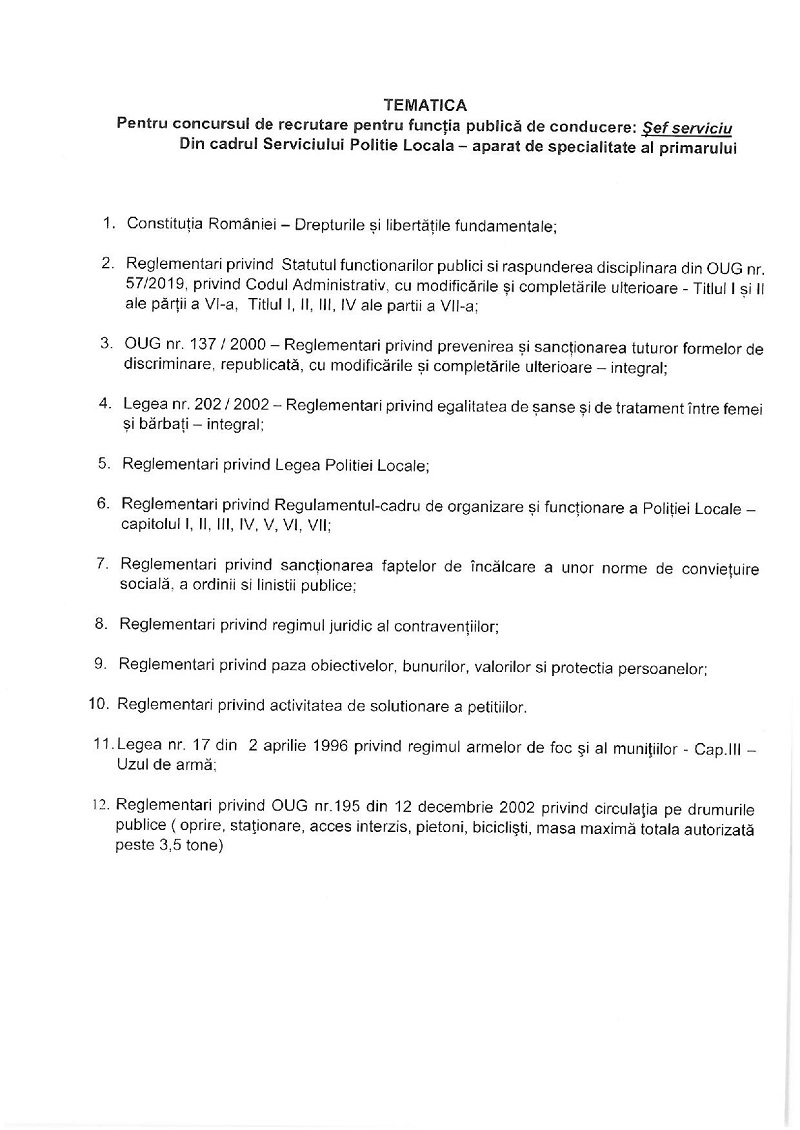
Primăria Țăndărei: Anunț concurs șef Poliția Locală

Leave a Reply

Adresa ta de email nu va fi publicată. Câmpurile obligatorii sunt marcate cu *